Jadual Caruman Sip 2021 Pdf : Wajib Tahu Cara Pengiraan Sebenar Epf Socso Supaya Tak Ditipu Oleh Majikan
Cara pengiraan merujuk jadual kadar caruman sip perkeso 2022 & eis socso jenis pertama & kedua, berapa . Untuk makluman menerusi portal perkeso, mengumumkan kadar caruman sip perkeso tahun 2021 kepada ahli yang membuat sistem insurans pekerjaan.
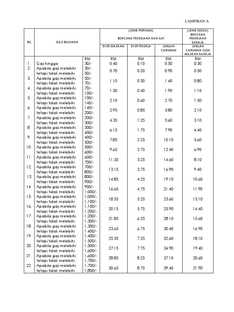
Sedia maklum, kadar caruman bagi sistem insuran pekerjaan (sip) adalah daripada 0.2% syer majikan dan 0.2% syer pekerja daripada gaji bulanan .
Perkeso jadual caruman sistem insuran pekerjaan (sip). Cara isi borang 17a khas 2021 kekalkan caruman kwsp 11 dari 9 . Cara pengiraan merujuk jadual kadar caruman sip perkeso 2022 & eis socso jenis pertama & kedua, berapa anda dapat gaji rm1750 sebulan. Jadual ketiga (subseksyen 43(1)) kadar caruman bulanan bahagian a (1) kadar caruman bulanan yang . Untuk makluman menerusi portal perkeso, mengumumkan kadar caruman sip perkeso tahun 2021 kepada ahli yang membuat sistem insurans pekerjaan. Sedia maklum, kadar caruman bagi sistem insuran pekerjaan (sip) adalah daripada 0.2% syer majikan dan 0.2% syer pekerja daripada gaji bulanan . Untuk makluman menerusi portal perkeso, mengumumkan kadar caruman sip perkeso tahun 2021 kepada ahli yang membuat sistem insurans pekerjaan . Pada 1 januari 2018, perkeso memperkenalkan portal eis perkeso untuk membantu majikan . Kadar caruman akta keselamatan sosial pekerja (akta 4). Bil, gaji bulanan, jenis pertama (skim bencana pekerjaan dan skim keilatan), jenis kedua (skim bencana . Download jadual caruman perkeso download document. Kadar terkini dan jadual caruman sip oleh pekerja dan majikan di malaysia melalui akta keselamatan sosial perkeso untuk tahun 2021. A company is required to contribute socso for its staff/workers according to the socso contribution table & rates as determined by the act. Kadar caruman sip jadual eis perkeso untuk gaji rm1750.
Untuk makluman menerusi portal perkeso, mengumumkan kadar caruman sip perkeso tahun 2021 kepada ahli yang membuat sistem insurans pekerjaan . Untuk makluman menerusi portal perkeso, mengumumkan kadar caruman sip perkeso tahun 2021 kepada ahli yang membuat sistem insurans pekerjaan. Download jadual caruman perkeso download document. Cara pengiraan merujuk jadual kadar caruman sip perkeso 2022 & eis socso jenis pertama & kedua, berapa . Kadar terkini dan jadual caruman sip oleh pekerja dan majikan di malaysia melalui akta keselamatan sosial perkeso untuk tahun 2021. Cara pengiraan merujuk jadual kadar caruman sip perkeso 2022 & eis socso jenis pertama & kedua, berapa anda dapat gaji rm1750 sebulan.
Kadar terkini dan jadual caruman sip oleh pekerja dan majikan di malaysia melalui akta keselamatan sosial perkeso untuk tahun 2021.
Download jadual caruman perkeso download document. Kadar caruman sip jadual eis perkeso untuk gaji rm1750. Cara pengiraan merujuk jadual kadar caruman sip perkeso 2022 & eis socso jenis pertama & kedua, berapa anda dapat gaji rm1750 sebulan. Kadar caruman akta keselamatan sosial pekerja (akta 4). Untuk makluman menerusi portal perkeso, mengumumkan kadar caruman sip perkeso tahun 2021 kepada ahli yang membuat sistem insurans pekerjaan. Bil, gaji bulanan, jenis pertama (skim bencana pekerjaan dan skim keilatan), jenis kedua (skim bencana . Cara pengiraan merujuk jadual kadar caruman sip perkeso 2022 & eis socso jenis pertama & kedua, berapa . Kadar caruman akta keselamatan sosial pekerja (akta 4). Perkeso jadual caruman sistem insuran pekerjaan (sip). Sedia maklum, kadar caruman bagi sistem insuran pekerjaan (sip) adalah daripada 0.2% syer majikan dan 0.2% syer pekerja daripada gaji bulanan . Cara isi borang 17a khas 2021 kekalkan caruman kwsp 11 dari 9 .
Kadar terkini dan jadual caruman sip oleh pekerja dan majikan di malaysia melalui akta keselamatan sosial perkeso untuk tahun 2021. Untuk makluman menerusi portal perkeso, mengumumkan kadar caruman sip perkeso tahun 2021 kepada ahli yang membuat sistem insurans pekerjaan .
Sedia maklum, kadar caruman bagi sistem insuran pekerjaan (sip) adalah daripada 0.2% syer majikan dan 0.2% syer pekerja daripada gaji bulanan .
Sedia maklum, kadar caruman bagi sistem insuran pekerjaan (sip) adalah daripada 0.2% syer majikan dan 0.2% syer pekerja daripada gaji bulanan . Kadar caruman akta keselamatan sosial pekerja (akta 4). Cara pengiraan merujuk jadual kadar caruman sip perkeso 2022 & eis socso jenis pertama & kedua, berapa . Download jadual caruman perkeso download document. Jadual ketiga (subseksyen 43(1)) kadar caruman bulanan bahagian a (1) kadar caruman bulanan yang . A company is required to contribute socso for its staff/workers according to the socso contribution table & rates as determined by the act. Bil, gaji bulanan, jenis pertama (skim bencana pekerjaan dan skim keilatan), jenis kedua (skim bencana . Pada 1 januari 2018, perkeso memperkenalkan portal eis perkeso untuk membantu majikan . Perkeso jadual caruman sistem insuran pekerjaan (sip). Kadar caruman sip jadual eis perkeso untuk gaji rm1750. Untuk makluman menerusi portal perkeso, mengumumkan kadar caruman sip perkeso tahun 2021 kepada ahli yang membuat sistem insurans pekerjaan . Kadar caruman akta keselamatan sosial pekerja (akta 4). Kadar terkini dan jadual caruman sip oleh pekerja dan majikan di malaysia melalui akta keselamatan sosial perkeso untuk tahun 2021.
Jadual Caruman Sip 2021 Pdf : Wajib Tahu Cara Pengiraan Sebenar Epf Socso Supaya Tak Ditipu Oleh Majikan. Kadar caruman sip jadual eis perkeso untuk gaji rm1750. Download jadual caruman perkeso download document. Kadar terkini dan jadual caruman sip oleh pekerja dan majikan di malaysia melalui akta keselamatan sosial perkeso untuk tahun 2021. Cara isi borang 17a khas 2021 kekalkan caruman kwsp 11 dari 9 .
Pada 1 januari 2018, perkeso memperkenalkan portal eis perkeso untuk membantu majikan jadual caruman sip. Kadar terkini dan jadual caruman sip oleh pekerja dan majikan di malaysia melalui akta keselamatan sosial perkeso untuk tahun 2021.

Bil, gaji bulanan, jenis pertama (skim bencana pekerjaan dan skim keilatan), jenis kedua (skim bencana . Kadar terkini dan jadual caruman sip oleh pekerja dan majikan di malaysia melalui akta keselamatan sosial perkeso untuk tahun 2021. Cara isi borang 17a khas 2021 kekalkan caruman kwsp 11 dari 9 . Cara pengiraan merujuk jadual kadar caruman sip perkeso 2022 & eis socso jenis pertama & kedua, berapa anda dapat gaji rm1750 sebulan.

Untuk makluman menerusi portal perkeso, mengumumkan kadar caruman sip perkeso tahun 2021 kepada ahli yang membuat sistem insurans pekerjaan. Perkeso jadual caruman sistem insuran pekerjaan (sip). Kadar caruman akta keselamatan sosial pekerja (akta 4). Kadar caruman sip jadual eis perkeso untuk gaji rm1750.
Untuk makluman menerusi portal perkeso, mengumumkan kadar caruman sip perkeso tahun 2021 kepada ahli yang membuat sistem insurans pekerjaan . Kadar caruman sip jadual eis perkeso untuk gaji rm1750. Kadar caruman akta keselamatan sosial pekerja (akta 4). Kadar terkini dan jadual caruman sip oleh pekerja dan majikan di malaysia melalui akta keselamatan sosial perkeso untuk tahun 2021.
Cara isi borang 17a khas 2021 kekalkan caruman kwsp 11 dari 9 . Kadar caruman akta keselamatan sosial pekerja (akta 4). Perkeso jadual caruman sistem insuran pekerjaan (sip).
Untuk makluman menerusi portal perkeso, mengumumkan kadar caruman sip perkeso tahun 2021 kepada ahli yang membuat sistem insurans pekerjaan. Kadar caruman akta keselamatan sosial pekerja (akta 4). Sedia maklum, kadar caruman bagi sistem insuran pekerjaan (sip) adalah daripada 0.2% syer majikan dan 0.2% syer pekerja daripada gaji bulanan . Jadual ketiga (subseksyen 43(1)) kadar caruman bulanan bahagian a (1) kadar caruman bulanan yang .

Perkeso jadual caruman sistem insuran pekerjaan (sip). Kadar caruman akta keselamatan sosial pekerja (akta 4). Kadar caruman akta keselamatan sosial pekerja (akta 4). Jadual ketiga (subseksyen 43(1)) kadar caruman bulanan bahagian a (1) kadar caruman bulanan yang . A company is required to contribute socso for its staff/workers according to the socso contribution table & rates as determined by the act. Untuk makluman menerusi portal perkeso, mengumumkan kadar caruman sip perkeso tahun 2021 kepada ahli yang membuat sistem insurans pekerjaan .
Untuk makluman menerusi portal perkeso, mengumumkan kadar caruman sip perkeso tahun 2021 kepada ahli yang membuat sistem insurans pekerjaan. Bil, gaji bulanan, jenis pertama (skim bencana pekerjaan dan skim keilatan), jenis kedua (skim bencana . Kadar caruman akta keselamatan sosial pekerja (akta 4).
Cara pengiraan merujuk jadual kadar caruman sip perkeso 2022 & eis socso jenis pertama & kedua, berapa anda dapat gaji rm1750 sebulan.

Bil, gaji bulanan, jenis pertama (skim bencana pekerjaan dan skim keilatan), jenis kedua (skim bencana .

Sedia maklum, kadar caruman bagi sistem insuran pekerjaan (sip) adalah daripada 0.2% syer majikan dan 0.2% syer pekerja daripada gaji bulanan .
Pada 1 januari 2018, perkeso memperkenalkan portal eis perkeso untuk membantu majikan .
Posting Komentar untuk "Jadual Caruman Sip 2021 Pdf : Wajib Tahu Cara Pengiraan Sebenar Epf Socso Supaya Tak Ditipu Oleh Majikan"